首页/骨科小技巧/塌陷椎体高度恢复重要吗?/
塌陷椎体高度恢复重要吗?
2023-04-25 13:56:58828浏览
理论上,治疗椎体压缩性骨折尽量要将塌陷椎体恢复至正常高度。

理论上,治疗椎体压缩性骨折尽量要将塌陷椎体恢复至正常高度。

塌陷椎体高度恢复50%靠体位(俯卧过伸),50%靠手术操作。

但很多时候用尽浑身解数也不能完全恢复。死磕到底,高度不完全恢复绝不罢休?还是无奈放弃,心有不甘的结束?——都不用。

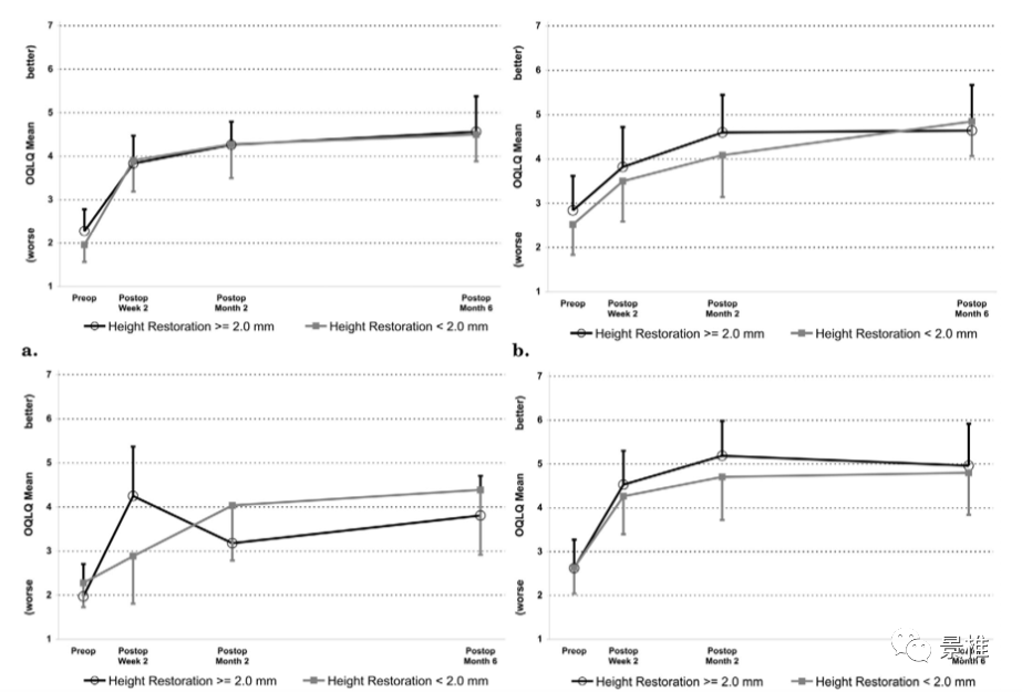
很多研究发现椎体高度恢复情况与术后症状改善程度无关。只要序列稳定,哪怕椎体塌一些,患者术后最终随访情况也不错。

这也就是为什么近年来PKP用的少、PVP占主流的理论基础。椎体高度完全恢复最好,残留一些塌陷也可。钉棒固定也是一样。

关键是稳定的支撑。

内容来源于景椎!

友情链接: