
软组织肉瘤(STS)是一种罕见的异质性肿瘤,占所有恶性肿瘤的<1%。一般来说,成人中60%的STS发生在四肢,只有15%发生在上肢。STS每年约占所有癌症相关死亡人数的0.5%。大约50%的上肢STS发生在肩-上臂区域,30%-40%发生在肘部-前臂区域,只有10%-20%发生在手腕区域。肘部STS的发病率据报道占所有软组织肿瘤的3.8%。目前,对于四肢局限性STS,广泛切缘手术仍然是首选的治疗方法,保肢手术是维持上肢功能的首选。
肘关节是连接上臂和前臂的铰链关节。在肘部,许多解剖结构允许明显的活动以实现屈曲和伸展功能,促进前臂旋后和旋前,并允许手腕和手的运动。由于肘部肿瘤的复杂性,肘部肿瘤的切除是一项重大的挑战,需要仔细的术前计划。由于神经血管结构的存在,缺乏可扩张的软组织,以及术后功能丧失,获得足够的手术切缘是困难的。尽管如此,治疗的主要目标是防止局部复发和保留肢体功能。
在这项研究中,我们旨在报告肘关节周围STS患者的临床病理数据、治疗和结果。治疗成功的评估特别关注患者的肿瘤学和功能结果。
方法:1999年1月至2017年5月,22例患者接受了手术切除肿瘤,平均随访85.2个月。
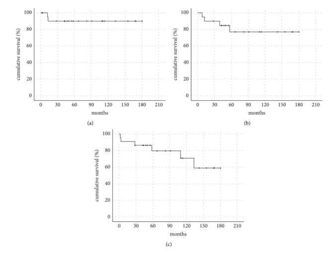
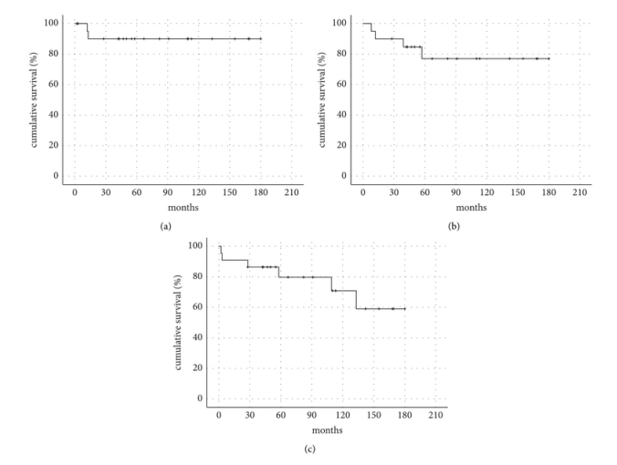
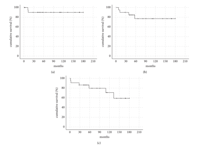
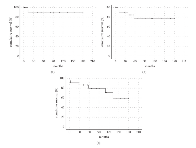
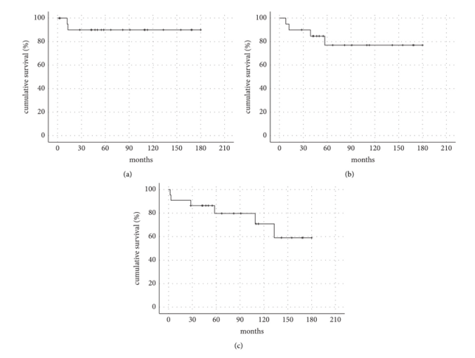
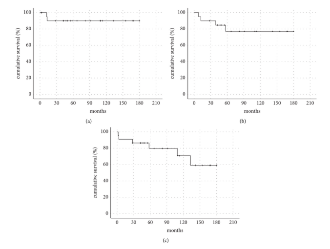
结果:6例肿瘤位于上臂,9例位于肘部,7例位于前臂。16例肿瘤位于深部,6例位于浅表。15例患者行广泛切除,包括1例截肢,18例(81.8%)组织学切缘阴性。2例局部复发,4例远处转移。肌肉骨骼肿瘤学会平均评分为92.0%(范围33.3-100)。5年局部无复发生存率为90.0%,无转移生存率为77.0%,总生存率为79.7%。

图1:67岁女性,右前臂近端有UPS(病例编号16)(A)。肿瘤切除后皮肤缺损7×6 cm(B)。术后4周(C),TE缺损区被肉芽组织覆盖。术后8周(D),随着上皮化程度的增加,皮肤缺损面积逐渐缩小。创面6个月后完全愈合,20个月后完全活动。



图2:23岁女性,左肘关节滑膜肉瘤(病例8)。MRI表现为T2WI(A)等信号肿块(53×32 mm)。肿瘤累及骨内后神经(白色箭头)(B)。行TE广泛切除,并联合关节囊和骨内后神经(PIN)(C)。TE患者2年后(D)出现PIN麻痹。肌腱移位术(Tsuge法)是在初次手术后2年进行的。桡侧腕屈肌(FCR)(灰色箭头)转移到拇长展肌(黑色箭头)(E)。掌长肌(黑色箭头)转移至拇长伸肌(白色箭头),而白线箭头(FCR)转移至拇长伸肌(F)。第二次手术(G)后2年,TE患者股骨头完全伸展。

图3:无复发(A)、无转移(B)和总生存率(C)的TE Kaplan-Meier生存曲线。估计5年生存率为90.0%(A)。77.0%(B)和79.7%(C)。
结论:当切除的肿瘤在组织学上边缘呈阴性时,局部控制和肢体功能可获得良好的结果,而无需牺牲主要结构。