膝关节骨关节炎是人类最常见的骨科疾病之一,根据牛津大学最新的数据统计,在骨科门诊每四个具有严重膝关节疼痛症状的骨关节炎患者当中,只有一个适合于膝关节置换,而另外三个都可以通过保膝的手术来进行治疗。
事实上保膝是一个从理念,理论到技术相结合的系统工程,不是我们学会了如何做手术,就可以把工作迅速开展起来的。我们首先要用现代保膝理念和理论武装自己的头脑,把基本知识点理解和消化好,才能在沟通中让患者了解和接受这种治疗。

软骨很薄,做截骨术的效果如何?
适合截骨的患者,软骨磨损从0到4级,术后效果都很好,尤其是磨损比较重的3和4级患者,效果更明显。只要适应症符合,截骨患者的术后疼痛缓解和膝关节功能的综合评分表现,优于膝关节置换。
Philipp Lobenhoffer的研究发现KL0-4期症状的患者,术后效果都明显改善,KL3-4期患者效果改善更明显,多中心的研究显示HTO的OKS评分优于膝关节置换。也有很多研究指出,关节炎的轻重与效果无明显差别。

只要适应症合适,内侧骨关节伴有内翻,做完手术都会很有效的。截骨手术用于治疗中重度关节炎是目前截骨技术的重要进展,也是经过大量研究和临床证实确切有效的治疗方法。
目前的截骨技术精确,根据关节炎的轻重可以决定矫正的程度。矫正不足会出现症状缓解时间有限,矫正过度会加重外侧关节炎,远期效果不佳。
因此,矫正手术的精确性保证了中重度关节炎的良好的近期和远期疗效。如前第一点所述,伴有内翻畸形的内侧关节炎,通过矫正手术,内侧减压后症状会明显缓解。对于关节软骨磨损越重的患者,我们矫正的程度越大,内侧应力降的越低,疼痛缓解明显。

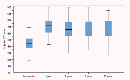
图2:Schuster P等研究了 KL-3,4级严重内侧关节炎,术后10年评分仍然较高,10年生存率仍可以达到 81.7%。
做完截骨术多久恢复正常
术后第一天就扶双拐下地,自己活动上厕所,在不太疼痛的情况下,患肢想踩多少重量就踩多少重量。通常一个月回来复查,逐渐练习扔拐正常走路。完全恢复正常工作要三个月。
一般来说,标准的手术技术和良好的内固定,使得截骨具有良好的初始稳定性,早期下地是安全的,术后一个半月可逐渐恢复正常生活。具体来说,截骨术后下地活动时间需要根据术中情况决定。
遵照AO标准的双平面胫骨近端开放楔型截骨手术设计和技术,截骨处有良好的初始稳定性,术后即刻完全负重也是安全的。截骨内侧有坚强的锁定钢板提供支撑,前方截骨面对合良好,外侧合页保留完好,同时使用钢板对外侧合页进行了弹性加压,可以让截骨近端骨块获得良好的稳定性。
根据生物力学的研究,术后即刻完全负重是安全的。一般来说,术后第一天下地可以拄双拐,脚可以踩地,早期可以生活自理。具体踩地的轻重根据术后疼痛的情况来决定,以不引起明显疼痛为原则。手术一个月复查之后可以改成扶单拐行走,术后一个半月的时候可以不用拐杖,逐渐恢复正常生活。
增加截骨稳定性的因素:合页保留完好、钢板对外侧加压完好,前方截骨面贴合良好。
降低截骨稳定性的因素:外侧合页断裂、内固定选择或使用不当、截骨近端螺钉长度不足、矫正后倾或旋转畸形、严重骨质疏松等等。
对于初学者,手术技术不稳定时需要根据术中的稳定性决定下地时间。初始稳定性好的患者早期下地是安全的,截骨固定稳定性不足的患者不能一概而论,需要重点关注康复计划,避免出现术后并发症。对于术中并发症,处理得当,患者仍可以早期下地负重活动,需根据术中的情况而定。
TomoFixTM 解剖型矫形板

符合解剖曲率的矫形板
磨损的软骨能自我修复吗
截骨矫正手术之后,膝关节内侧压力得到释放,给软骨再生提供了空间,关节软骨可以自我修复和再生。
虽然通常认为,软骨是不能再生的,这是为什么很多保守治疗的办法,没有效果的原因。然而,诸多研究发现,做完截骨手术之后,存在29%至91%的患者存在软骨再生,股骨侧较胫骨侧软组再生更常见。
虽然有作者发现,KL4级病例软组再修复率低,但是Schuster P等对KL3-4级磨损的膝关节性胫骨高位截骨术,有长达十年的随访,作者在术后两年的关节镜检查时发现,进行截骨矫形术后84.8% 出现股骨侧良好的软骨再生,78.4%出现胫骨侧软骨再生。虽然跟普通的软骨不太一样,但也是能起一定的缓冲作用,缓解疼痛,延长关节的寿命。

A:股骨内侧髁软骨全层剥脱患者,胫骨高位截骨术后一年半,取钢板时再做关节镜检查,观察到软骨全层再生。B:再生软骨用关节镜取活检,证实新生软骨为非常接近于透明软骨质量的类透明软骨
截骨术和全膝置换的区别
这是一个开放性的问题,每个人都有自己心中的最佳答案。我很欣赏日本HTO教父—Koshino教授的回答,他会反问患者:当你牙上有一个洞的时候,你是希望补一补之后接着用,还是不管洞的大小,直接拔了换个假牙?
截骨手术和全膝置换最大的区别,就在于能够完全地保留自身的关节,功能更好,不用担心人工关节相关并发症。
从活动方面来看,截骨矫形术90%患者术后一年重返工作岗位,87%的患者术后可以重返运动场,获得正常的生活,可以做各种活动和运动,包括跳舞,旅游,体育锻炼,甚至部分体力劳动。
人工膝关节并不能很好地模拟这些功能。全膝关节置换术后能够满足基本生活的需要,但是走路多了还是经常会肿,会不舒服,特别是在一些精细活动的时候,比如说上下楼,跳舞,慢跑,这样的时候会比较明显。
另一方面,人工关节存在一些不可避免的问题,衬垫的磨损,松动,感染,不明原因疼痛等等,像假牙一样容易出问题。对于65岁以下的年轻病人来说,膝关节置换术后可能面临着再次翻修的问题,而且再次翻修费用和创伤都会更大。
而截骨治疗对于年轻病人尤其适用,可以满足高强度的活动,即使需要进行关节置换,普通的膝关节置换就可以满足需求。
截骨矫正术治疗膝关节炎是经典而有效的手术,随着新的手术技术和器材的发展,即使在中重度关节炎患者也都取得了良好的效果。手术具有创伤小,疗效好,功能好,保留自身膝关节等不可比拟的优点。
胫骨高位截骨术
1、截骨平面对于胫骨外翻截骨术,一般是在胫骨上段(即胫骨结节远端)进行,以矫正内翻畸形。这样操作显露容易,操作简便。
而今治疗膝关节骨关节炎合并内翻畸形患者,截骨平面在胫骨结节与关节面之间,这不仅因截骨平面通过的胫骨干端为松质骨,血运丰富有利于骨愈合,且该平面更接近于畸形的真正部位,更主要的是可使股四头肌与绳肌对截骨部位起到加压作用,同时也可调节两侧副韧带的紧张程度。
另外,只有高位截骨才能达到胫骨上端的骨内压降低及其血运的重建。
2、截骨后的固定方法
(a)、石膏或支具外固定
此手术不做内固定,故术中容易发生截骨端错位,致使矫正度改变,而且制动时间长,容易并发关节僵硬、活动受限。
(b)、穿针外固定器固定采用此种固定方法,可使截骨近端及远端对截骨面有一定加压作用,但因针暴露于外,常可并发针道感染。据有关文献报道,采用此方法也可有神经血管损伤并发症。
(c)、胫骨高位截骨术钢板螺钉内固定欧美及日本医师多采用此法,但手术复杂,并发症的发生率比其他方法高。
(d) 、骑缝钉固定此种方法的手术剥离范围小,操作容易,术后根据需要只需给予短期外固定3~5周即可。
3、截骨方式
(a)、 闭合式楔形截骨术
多数学者愿意采用闭合式楔形截骨术,原因是开放式楔形截骨术需要植骨,因而延长术后制动时间,并有时可因植骨被吸收而导致矫正度丢失或延缓愈合。闭合式楔形截骨术虽使患者肢体稍有短缩,但截骨操作容易,截骨接触稳定。
(b)、半开放楔形截骨术当患者膝内翻畸形严重时,若行闭合式外翻楔形截骨术,切除楔形骨块较大,小腿短缩较多。
施行半开放楔形截骨术,可截除较小的楔形骨,矫正较大的内翻,即在胫骨上端外23做闭合式楔形截骨,内侧側13水平方向截断,然后将外侧截下的楔形骨块插入内13开放的楔形缺损中。

(半开放楔形截骨)
(c)、台形截骨术或倒“V”字形截骨术此法是在胫骨结节正上方做一水平横行截骨,两侧各做一斜行截骨,使之呈“台”字形。
在台形外侧根据矫正度大小截除骨块,然后将外侧截骨面闭合,而将外侧截下的骨块插入内侧开放后的间隙中,故台形或倒"V"字形截骨少有小腿短缩,可防止截骨端侧方错位,易于在术后对矫正度进行再纠正。但台形截骨术不利于内固定物的应用。

(台形截骨术)
(d)、拱形(或球形)截骨术它是以胫骨结节上方为顶点,做一拱状的或球状的截骨术(图7-3)。其截骨面接触广,截骨端稳定,术中可三维矫正;若不做内固定,术后发现矫正不满,可做精确的补充再矫正。此种截骨术在理论上优点较多,但实际上在胫骨上端高位做球状截骨,除非有球状凿,否则做成球状截骨操作比较困难。

拱形(或球形)截骨术
除胫骨截骨外,更强调指出,膝关节的胫股关节骨关节炎患者,常合并髌股关节骨关节炎,故在行胫骨高位截骨术的同时,应将胫骨结节前置(髌骨前移)以减轻髌股关节症状。
总之,无论采用什么方式的截骨术,用何种固定方法,更主要的是术前要精确测量,严格掌握矫正角度,并维持此角度,直至骨愈合,才能获得好的治疗效果。
4、胫腓韧带和腓骨的处理
当行胫骨上端截骨术时,患者近侧胫腓关节常妨碍外翻矫形,解决此障碍的方法有以下三种:
(a)、通过截骨切口,充分显露胫骨外髁,然后将腓骨小头切除,并将股二头肌肌腱及膝外侧副韧带在生理张力下附着在腓骨颈上。此方法需将腓总神经显露,在直视下施行手术,以免将其损伤。
(b)、假如采用前侧横切口或前外侧切口,可将胫腓韧带切断或将其腓骨附着部分切除,但对严重畸形者矫正度较大,当楔形截骨后骨端闭合时,腓骨头常可顶挤胫骨髁。
(c)、在腓骨近处斜行截断或将其截除一段向胫骨端合拢时,使腓骨断端重叠在腓骨上1/3处截骨矫形容易,但常可使腓总神经肌支受损伤,而致伸𧿹长肌或胫前肌麻痹,文献上也有发生胫前肌间隔综合征的报道。主张将腓骨截除一段,截除的长度依矫正度大小而定,一般如矫形10°,则截除长度为10mm,但截骨部位不在腓骨上1/3处,而在腓骨中段,这样可大为减少神经肌支受损伤的机会。